赣州51龙凤茶楼论坛一品楼品楼论坛 ,全国聚凤阁信息论坛万花楼,东莞桑拿0757sn论坛,昆明耍耍网桑拿论坛

ZOBO卓邦专业音响logo

体育场馆声学设计及测量规程JGJ/T 131-2012 备案号J 42-2012

前言根据住房和城乡建设部《关于印发lt2009年工程建设标准规范制订、修订计划gt的通知》(建标[2009]88号)的要求,规程编制组经广泛调查研究、认真总结实践经验、参考有关标准和国外标准,并在广泛征求意见的基础上,修订本规程。本规程的主要技术内容是:总则建筑声学设计噪声控制扩声系统设计声学测量等。

  因篇幅有限请到资料下载  下载完整文件。

  还可以了解更多关于会议室解决方案、产品和案例 等信息。

  还可以了解更多关于体育场馆解决方案、产品和案例 等信息。

  还可以了解更多关于剧场剧院解决方案、产品和案例 等信息。

  还可以了解更多关于学校教育  解决方案、产品和案例  等信息。



前 言

  根据住房和城乡建设部《关于印发<2009年工程建设标准规范制订、修订计划>的通知》(建标[2009]88号)的要求,规程编制组经广泛调查研究、认真总结实践经验、参考有关标准和国外标准,并在广泛征求意见的基础上,修订本规程。

  本规程的主要技术内容是:总则;建筑声学设计;噪声控制;扩声系统设计;声学测量等。

  本规程修订的主要内容是:

  1.增加了对体育场进行声学设计、声学测量的内容。

  2.对于体育馆,适当调整了建筑声学、噪声控制、扩声系统的设计指标与要求,对声学测量的仪器与方法也作了适当调整。

  3.以附录的形式,增加了有关扩声系统语言传输指数方面和游泳池水下广播系统扩声特性指标及其测量方法的内容。

  本规程由住房和城乡建设部负责管理,由中国建筑科学研究院负责具体技术内容的解释。执行过程中如有意见或建议,请寄送中国建筑科学研究院(地址:北京市北三环东路30号,邮政编码:100013)

  本规程主编单位:中国建筑科学研究院

  本规程参编单位:北京市建筑设计研究院 中广电广播电影电视设计研究院 东南大学 博世集团

  本规程主要起草人员:林杰 峥 陈建华 傅秀章 徐春 陈金京 骆学聪 柳孝图 闫国军 石敏 莫皎平 石红蓉

  本规程主要审查人员:程明昆 福津 曹孝振 周兆驹 崔广中 茹履京 马军 周茜 莫喜平


1 总 则

  1.0.1 为保证体育场馆的观众席、比赛场地及有关房间满足使用功能要求的听闻环境,测量体育场馆的声学特性,检验体育场馆声学工程的质量,制定本规程。

  1.0.2 本规程适用于新建、扩建、改建体育场馆的声学设计和声学测量,也适用于既有体育场馆的声学测量。

  1.0.3 体育场馆的声学设计应从建筑方案设计阶段开始。体育场馆的建筑声学设计、扩声系统设计和噪声控制设计应协调同步进行。

  1.0.4 对设有可开合活动顶盖的体育场,应按对体育馆的声学设计原则进行建筑声学设计、噪声控制设计。

  1.0.5 体育场馆声学设计和声学测量除应符合本规程外,尚应符合现行有关标准的规定。


2 建筑声学设计

2.1 一般规定

  2.1.1 体育场馆的建筑声学条件应保证使用扩声系统时的语言清晰。未设置固定安装的扩声系统的训练馆,其建筑声学条件应保证训练项目对声环境的要求。

  2.1.2 体育馆比赛大厅内观众席和比赛场地以及体育场的观众席不宜出现回声、颤动回声和声聚焦等声学缺陷。

  2.1.3 当选择体育场馆建筑声学处理方案时,应结合建筑形式、结构形式、观众席和比赛场地的配置及扬声器的布置等因素确定。

  2.1.4 当选择声学材料和构造时,声学材料和构造应符合对材料的声学性能、强度、防火、装修、卫生、环保、防潮、造价等方面的要求。

  2.1.5 体育场馆的吸声处理宜结合房间围护结构的保温、隔热、遮光的要求进行综合设计。

  2.1.6 在处理比赛大厅内吸声、反射声和避免声学缺陷等问题时,除应将扩声扬声器作为主要声源外,还宜将进行体育活动时产生的自然声源作为声源。

2.2 混响时间

  2.2.1 综合体育馆比赛大厅满场混响时间的选择宜符合下列规定:

  1 在频率为500Hz~1000Hz时,不同容积比赛大厅的满场混响时间宜满足表2.2.1-1的要求。

  2 各频率混响时间相对于500Hz~1000Hz混响时间的比值宜符合表2.2.1-2的规定。

  表2.2.1-1 不同容积比赛大厅500Hz~1000Hz满场混响时间


容枳n?)

<40000

40000—80000

80000^-160000

>160000

混响时间S

1.3 ?1.4

1.4-1.fi

1.6 ?1.8

1. 9?2?1

  注:当比赛大厅容积大于表中列出的大容积的1倍以上时,混响时间可比2.1s适当延长。

  表2.2.1-2 各频率混响时间相对于500Hz~1000Hz混响时间的比值

频率Hz)

125

250

2000

4000

比值

1.0 ?1.3

 

0.9—1.0

0.8—1.0

  2.2.2 游泳馆比赛厅500Hz~1000Hz满场混响时间宜满足表2.2.2的要求;各频率混响时间相对于500Hz~1000Hz混响时间的比值宜符合本规程表2.2.1-2的规定。

  表2.2.2 游泳馆比赛厅500Hz~1000Hz满场混响时间


每座容积m座)

<25

>25

混响时冋V)

<2.0

<2.5


  2.2.3 有花样滑冰表演功能的溜冰馆,其比赛厅的混响时间可按容积大于160 000m3的综合体育馆比赛大厅的混响时间设计。冰球馆、速滑馆、网球馆、田径馆等专项体育馆比赛厅的混响时间可按本规程中游泳馆比赛厅混响时间的规定设计。

  2.2.4 体育场馆内对声学环境有较高要求的辅助房间的混响时间宜符合表2.2.4的规定。

  表2.2.4 体育场馆内辅助房间500Hz~1000Hz混响时间


房间名称

混响时间8

评论员室、播音室、扩声控制室

0.4?0, 6

貴宾休息室和包厢

0.8 ?1.0


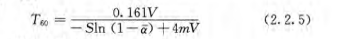
  2.2.5 混响时间可按公式(2.2.5)分别对125Hz、250Hz、500Hz、1000Hz、2000Hz、4000Hz六个频率进行计算,计算值取到小数点后一位。

体育场馆声学设计及测量规程JGJ/T 131-2012 备案号J 42-2012

  式中:T60——混响时间(s);

  V——房间容积(m3);

  S——室内总表面积(㎡);

  a——室内平均吸声系数;

  m——空气中声衰减系数(m-1)。

  2.2.6 室内平均吸声系数应按公式(2.2.6)计算:

体育场馆声学设计及测量规程JGJ/T 131-2012 备案号J 42-2012

  式中:Si——室内各部分的表面积(㎡);

  ai——与表面Si对应的吸声系数;

  Nj——人或物体的数量;

  Aj——与Nj对应的吸声量(㎡)。

        2.3 吸声与反射处理

  2.3.1 体育馆比赛大厅的上空应设置吸声材料或吸声构造。

  2.3.2 当体育馆比赛大厅屋面有采光顶时,应结合遮光构造对采光部位进行吸声处理。

  2.3.3 体育馆比赛大厅四周的玻璃窗宜设置吸声窗帘。

  2.3.4 体育馆比赛大厅的山墙或其他大面积墙面应做吸声处理。

  2.3.5 体育馆比赛场地周围的矮墙、看台栏板宜设置吸声构造,或控制倾斜角度和造型。

  2.3.6 体育馆内与比赛大厅连通为一体的休息大厅内应结合装修进行吸声处理。

  2.3.7 游泳馆中使用的声学材料应采取防潮、防酸碱雾的措施。

  2.3.8 网球馆内应在有可能对网球撞击地面的声音产生回声的部位进行吸声处理。

  2.3.9 对挑棚较深的体育场,宜在挑棚内进行吸声处理。

  2.3.10 体育场馆的主席台、裁判席周围壁面应做吸声处理。

  2.3.11 在没有观众席的体育馆、训练馆和游泳馆内宜在墙面和顶棚进行吸声处理。

  2.3.12 体育场馆的评论员室、播音室、扩声控制室、贵宾休息室和包厢等辅助房间内应结合装修进行吸声处理。


3 噪声控制

3.1 一般规定

  3.1.1 体育馆比赛大厅和体育场馆有关用房的噪声控制设计应从总体设计、平面布置以及建筑物的隔声、吸声、消声、隔振等方面采取措施,应选用低噪声辐射的通风、空调、照明等设备系统。

  3.1.2 体育场馆噪声对环境的影响应符合现行标准《声环境质量标准》GB 3096的规定。

3.2 室内背景噪声限值

  3.2.1 体育馆比赛大厅和体育场馆有关用房的背景噪声不应超过相应的室内背景噪声限值。

  3.2.2 当体育馆比赛大厅或体育场馆的贵宾休息室、扩声控制室、评论员室和播音室无人占用时,在通风、空调、照明设备等正常运转条件下,室内背景噪声限值宜符合表3.2.2的规定。

  表3.2.2 体育馆比赛大厅等房间的室内背景噪声限值


房间名称

室内背景噪声限值

体育信比鹿大厅

NR-40

贵宾休息室、扩声控制室

NR-35

评论员室、播音室

NR-30


3.3 噪声控制和其他声学要求

  3.3.1 体育馆比赛大厅四周外围护结构的计权隔声量应根据环境噪声情况及区域声环境要求确定。体育馆比赛大厅宜利用休息廊等隔绝外界噪声干扰。休息廊内宜作吸声降噪处理。对室内噪声有严格要求的体育馆比赛大厅,可对屋顶产生的雨致噪声、风致噪声等采取隔离措施。

  3.3.2 贵宾休息室围护结构的计权隔声量应根据其环境噪声情况确定。

  3.3.3 评论员室之间的隔墙、播音室的隔墙的隔声性能应保证房间外空间正常工作时房间内的背景噪声符合本规程表3.2.2的规定。

  3.3.4 通往比赛大厅、贵宾休息室、扩声控制室、评论员室、播音室等房间的送风、回风管道均应采取消声和减振措施。风口处不宜有引起再生噪声的阻挡物。

  3.3.5 空调机房、锅炉房等各种设备用房应远离比赛大厅、贵宾休息室等有安静要求的用房。当其与主体建筑相连时,应采取有效的降噪、隔振措施。

  .

4 扩声系统设计

4.1 一般规定

  4.1.1 在体育场馆中应设置固定安装的扩声系统。固定安装的扩声系统应满足体育比赛活动时观众席、比赛场地等服务区域的语言扩声需求。

  4.1.2 扩声系统应保证在观众席、比赛场地及其他系统服务区域内达到相应的声压,声音应清晰、声场应均匀。同时,在其服务区域所产生的大声音不应造成人员听力的损伤。

  4.1.3 当体育场馆进行非体育比赛活动时,宜根据需要配置临时扩声系统,结合固定安装的扩声系统使用。

  4.1.4 根据使用要求,固定安装的扩声系统应包括下列独立或同时使用的主扩声系统和辅助系统:

  1 观众席、比赛场地的主扩声系统;

  2 检录、呼叫广播系统;

  3 新闻发布厅扩声系统;

  4 内部通话系统;

  5 游泳池水下广播系统。

  4.1.5 主要观众席和比赛场地周边应设置扩声系统综合输入、输出接口插座,扩声控制室与各控制机房之间应有管道或线槽路径供安装信号联络线。

  4.1.6 扩声系统对服务区以外有人区域不应造成环境噪声污染。

4.2 扩声特性指标

  4.2.1 体育馆比赛大厅主扩声系统的扩声特性指标可分为三。观众席扩声系统的扩声特性指标应按表4.2.1的规定选用;比赛场地扩声系统的扩声特性指标可与观众席同或降低一。

  表4.2.1 体育馆主扩声系统扩声特性指标


鼓大声压級

传输頻率特性

传声増益

徳态声场不均匀度

系统噪声

_級

额定通带 内,不小 105dB

125Hz ?4000Hz 的平均声压为OdB. 在此频带内允许 —4dB?+4dB的变化 1/3倍频程測畑); 100Hz、5000Hz 频带允许-6dB~ + 4dB的变化;在 8OHz. 6300Hz 频帯 允许一 8dB?+ 4dB 的变化I63Hz 8000Hz频带允许 10dB?+ 4dB的变 化(图 4.2.1-1)

125Hz~ 4000Hz 平均不小 -10dB

频率为 lOOOHzs 4000Hz 1/3 频程带 宽)时,大部分 区域不均匀度不 大于8dB

扩声系统 不产生明显 可察觉的噪 声干扰

额定通帯 内,不小 lOOdB

125Hz ?4000Hz 的平均声压为OdB, 在此频戰内允许 —6dB?+ 4dB的变 H/3倍频程测救); 100Hz, 5000Hz 帯允许一 8dB?+4dB 的变化180Hz, 6300Hz频带允许 -10dB- + 4dB 的变 化;在 63Hz. 8000Hz 频带允许一 I2dfi? +4dB的变化(图 4, 2. h2)

125Hz ? 4000Hz 平均不小 _12dB

颇率为 1000Hz, 4000Hz 1/3倍频程帯 寛)时,大部分 区域不均勾度不 大于10dB

扩声系统 不产生明显 可察觉的噪 声干扰

额定通带 内,不小 95dB

250Hz~4000Hz 的平均声压为OdB, 在此頻带内允许 -8dB~+4dB的变化 1/3偌频程测童);在 200Hz.5000HzM 帯允 许一 10dB~ + 4dB 变化;在 160Hz, 6300W? 频带允许-12HB ~ +4dB的变化1 125Hz, 8000Hz 頻带 允许14dB4dB 的变化(图4.2.1-3)

250Hz ? 4000Hz 平均不小 12dB

频率为 1000H2 1/3 頻程帯宽)时, 大部分区域不均 匀度不大于WdB

扩声系统 不产生明挝 可察覽的噪 声干扰


体育场馆声学设计及测量规程JGJ/T 131-2012 备案号J 42-2012

图4.2.1-1 体育馆一传输频率特性范围

2体育场馆声学设计及测量规程JGJ/T 131-2012 备案号J 42-2012

图4.2.1-2 体育馆二传输频率特性范围

3体育场馆声学设计及测量规程JGJ/T 131-2012 备案号J 42-2012

图4.2.1-3 体育馆三传输频率特性范围

  4.2.2 体育场主扩声系统的扩声特性指标可分为三。观众席扩声系统的扩声特性指标应按表4.2.2的规定选用,比赛场地扩声系统的扩声特性指标可与观众席同或降低一。

  表4.2.2 体育场主扩声系统扩声特性指标


等級

皱大有压

传输频率特性

传声増益

稳态声场不均匀度

系统噪声

額定通带 ?不小 105dB

125Hz?4000 的平均声压为OdB. 在此頻带内允许 6dB?+ 4dB的变 1/3倍频程测做); 100Hz、5000Hg 带允许一 8dB~+4dB 的变化180Hz, 6300Hz频带允许 —10dB?+ 4dB的变 化;在 63Hz. 8000Hz 颇带允许12dB? +4dB的变化(图 4.2. 2-1)

125Hz ?

4000 Hz 平均不小 10dB

频率为 1000 Hz4000H Jt /3倍频程带宽) 时,大部分区域 不均匀度不大于 8dB

扩声系 统不产生 明显可察 觉的噪声 干扰


大声压皴

传输频率特性

传声増益

拖态声场不均匀度

系统嚥声

二級

额定通带 .不小 98dB

125~4000 的平均声压为OdB, 在此頻带内允许 8dB?+ 4dB的変化 1/3倍频程测量),在 100HX.5000H?频带允 lldB?4dB 垂化;在 80Hz,6300Hz 頻带允许一 14dB~ +4dB的変化;在 63Hz,8000Hz 频带允 许一 17dB?+ 4dB 血化(图4.2.2-2)

125Hz~ 4000H? 平均不小 -12dB

频率为 1000Hz, 4000Hz 1/3倍频程带宽) 时,大部分区域 不均匀度不大于 10dB

扩声系 统不产生 明显可察 觉的噪声 干扰

三級

额定通带 内,不小 90dB

250Hz ?4000Hz 的平均声压級为OdB. 在此频带内允许 10dB? 4dB的变 1/3借频程测吊), 200Hz, 5000Hz 带允许13dB?+4dB 的变化;在160H2, 6300Hz频带允许 16dB~ + 4dB 的瘻 化;在 125Hz. 8000Hz 频带允许一 19dB?  4dB的变化(囹 4.2.2-3)

250Hz ? 4000Hz 平均不小 14dB

频率为 1000Hz 1/3 倍频 程带宽)时,大部 分区域不均勾度 不大于12dB

扩声系 统不产生 M可察 觉的噪声 干扰



4体育场馆声学设计及测量规程JGJ/T 131-2012 备案号J 42-2012

  图4.2.2-1 体育场一传输频率特性范围

5体育场馆声学设计及测量规程JGJ/T 131-2012 备案号J 42-2012

  图4.2.2-2 体育场二传输频率特性范围

6体育场馆声学设计及测量规程JGJ/T 131-2012 备案号J 42-2012

  图4.2.2-3 体育场三传输频率特性范围

  4.2.3 检录、呼叫广播系统所服务的区域,其扩声特性指标宜按表4.2.3的规定选取。

  表4.2.3 检录、呼叫广播系统扩声特性指标


大声压

传输频率特性

稳窓声场不均匀度

系统噪声

額定通 带内,不 小于85dH

250Hz?4UO0HZ的平均声压 OdB,在此频带内允许10dB? +4dB的变化1/3倍频程测威);在 200Hz, 5000Hz 频帯允许J3dB? + 4dB 的变化;在 160Hz、6300Hz 频带允许T6dB?+ 4dB的变化; 125Hz8000Hz 频带允许19dB? +4dB的变化(图4.2.3)

小于成等于10JB

系统不 产生明显 可察觉的 嚥声干扰

7体育场馆声学设计及测量规程JGJ/T 131-2012 备案号J 42-2012


  图4.2.3 检录、呼叫广播系统传输频率特性范围

  4.2.4 体育场馆主扩声系统和检录、呼叫广播系统的扩声系统语言传输指数(STIPA)应符合本规程附录A的规定。

  4.2.5 新闻发布厅扩声系统的扩声特性指标,宜符合现行标准《厅堂扩声系统设计规范》GB 50371中关于会议类扩声系统的相关规定。

  4.2.6 游泳池水下广播系统的扩声特性指标应符合本规程附录B的规定。

4.3 主扩声系统

  4.3.1 传声器的配置应符合下列规定:

  1 应按使用范围配置相应数量的传声器;

  2 应选择有利于抑制声反馈、低阻抗和平衡输出类型的传声器;

  3 在主席台、裁判席应设传声器插座;比赛场地四周宜设传声器插座。

  4.3.2 观众席扬声器系统应符合下列规定:

  1 应选用灵敏度高、指向性合适、大声压高、频带范围宽的扬声器系统;

  2 扬声器系统宜根据不同场馆的具体情况,可采用集中式、分散式或集中分散相结合的方式吊装;

  3 在体育场馆观众席上感觉到的由扩声扬声器系统产生的声像宜位于前方;

  4 对露天非全封闭体育场,扬声器系统应为全天候型:具有防风、防热、防水、防盐雾(沿海地区)等性能;在游泳馆使用的扬声器系统应具有防水、防酸碱雾等性能;

  5 当采用功率放大器与扬声器为一体的有源扬声器系统时,有源扬声器系统的安装位置应满足安全要求。

  4.3.3 比赛场地扬声器系统应符合下列规定:

  1 比赛场地应设置可独立控制的扬声器系统;

  2 比赛场地扬声器系统的轴线指向应避免场地作为反射面将主要声能反射到观众席上。

  4.3.4 主扩声扬声器系统与可能设置主扩声传声器处之间的距离宜大于主扩声扬声器系统的临界距离;扬声器系统主轴应避免指向主扩声传声器。

  注:临界距离系指声场中直达声能密度与混响声能密度相等的点到声源的距离。

  4.3.5 主扩声扬声器系统的特性及配置应使其直达声均匀覆盖其服务区。主扩声扬声器系统的设置,应避免在体育馆观众席、比赛场地出现回声;应避免在体育场观众席出现强回声。

  4.3.6 扬声器系统的安装条件应符合下列规定:

  1 必须有安全可靠的保障措施,当涉及承重结构改动或增加荷载时,应由原结构设计单位或具备相应资质的设计单位核查有关原始资料,对既有建筑结构的安全性进行校验、确认;

  2 不应引致其他噪声;

  3 当扬声器系统采用暗装时,安装开口应大至不遮挡扬声器系统向其服务区辐射直达声;选择安装开口所用装饰面材料时,应主要根据装饰面材料的透声性能确定;当装饰面材料为开孔类型的材料时,开孔率不应小于50%;蒙面装饰用格栅的尺寸不宜大于20mm,并应小于扬声器单元声辐射口径的1/10;

  4 扬声器系统安装位置后方的反射面应做声学处理。

4.4 辅助系统

  4.4.1 检录、呼叫广播系统应符合下列规定:

  1 运动员检录处宜设置小型流动扩声系统;

  2 运动员、教练员、裁判、医务等人员休息、练习、工作场所应设呼叫广播系统;

  3 在体育场馆的入口处、包厢、观众休息区等处应设置呼叫广播系统。

  4.4.2 新闻发布厅扩声系统的设置,宜符合现行标准《厅堂扩声系统设计规范》GB 50371中关于会议类扩声系统的相关规定。

  4.4.3 大型体育场馆内宜设置裁判、运动员和工作人员之间的内部通话系统。

  4.4.4 当设置内部通话系统时,在扩声控制室、灯光控制室、检录处、裁判员席、公共广播机房、显示屏控制机房和消防安全值班室等主要技术及体育工作用房应设置内部通话台分站;在现场调音位、功放机房、记者席、评论员席及场内广播室等主要工作点宜设置内部通话插座面板。

  4.4.5 游泳池水下广播系统应符合下列规定:

  1 有花样游泳表演需求的游泳池,应设置独立的水下扬声器系统;

  2 水下扬声器可固定安装在与泳道平行的两侧池壁;

  3 应采用延时器调节水下扬声器系统与比赛场地扬声器系统的时间差。

  4.5 扩声控制室与功放机房

  4.5.1 扩声控制室应设置在便于观察场内的位置,面向主席台及观众席开设观察窗,观察窗的位置和尺寸应保证调音员正常工作时对主席台、裁判席、比赛场地和大部分观众席有良好的视野;观察窗宜可开启,调音员应能听到主扩声系统的效果。

  4.5.2 扩声控制室的面积应满足设备布置和方便操作及正常检修的需要;地面宜铺设防静电活动架空地板。

  4.5.3 扩声控制室内若有正常工作时发出超过NR-35干扰噪声的设备,宜设置设备隔离室。

  4.5.4 扩声控制室内宜设置监听扬声器系统。

  4.5.5 扩声控制室与比赛场地之间宜预留不少于2对的管线。

  4.5.6 当扩声控制室与观众席扬声器系统、比赛场地扬声器系统连线单程长度超过100m时,宜在扬声器系统安装位置的附近区域设置功放机房。对大型体育场馆,若采用分散式的扬声器布置,宜设置多个功放机房以分区域分配功率放大器。

  4.5.7 当功放机房与扩声控制室不在同一操作区域时,宜对功放设备配置监控系统。

  4.5.8 功放机房应设置独立的空调系统。

  4.5.9 扩声系统设备的电源不应与可控硅调光设备、舞台机械设备、空调系统或变频设备等共用同一电源变压器;若其电源电压不稳定或受干扰严重,应配备电源稳压器或隔离变压器。

  4.5.10 当扩声系统设备工艺接地时,应设独立接地母线并单点接地,其接地电阻不应大于1Ω。

  4.6 系统设备与连接

  4.6.1 调音台及信号处理应符合下列规定:

  1 观众席扩声系统应配置独立的调音台;

  2 观众席扩声系统、比赛场地扩声系统、游泳池水下广播系统应设信号处理设备,其功能宜包括增益、分配、混合、均衡、压缩、限幅、延时、滤波及分频等。

  4.6.2 系统连接应符合下列规定:

  1 传声器信号及音频信号传输连接线应采用带屏蔽的平衡电缆;

  2 扩声设备之间互连应符合现行标准《声系统设备互连的优选配接值》GB/T 14197的规定;

  3 当传声器信号连接线单程长度超过100m时,在传声器附近宜采用前置放大器对信号进行放大后再传输;扩声控制室与功放机房之间宜采用数字方式的信号传输;

  4 扩声控制室与公共广播控制机房、功放机房、检录区域、裁判席、评论员席、记者席、显示屏控制机房、转播控制室等技术功能用房之间应设置双向音频信号传输系统;

  5 应预留与公共广播系统、应急广播系统的信号接口;

  6 当功率放大器与扬声器系统分离时,全频扬声器连线的功率损耗应小于全频扬声器功率的10%,次低频扬声器连线的功率损耗宜小于次低频扬声器功率的5%。

  .

  5 声学测量

  5.1 一般规定

  5.1.1 体育场馆建成后,应进行声学测量并提供声学测试报告书??⒐の募Πㄖ丈Р馐越峁?。

  5.1.2 声学测量应在扩声系统电气指标正常的条件下进行。体育馆的声学测量项目应包括混响时间、背景噪声、大声压、传输频率特性、传声增益和声场不均匀度;还可包括扩声系统语言传输指数(STIPA)。体育场的声学测量项目应包括大声压、传输频率特性、传声增益和声场不均匀度;还可包括背景噪声和扩声系统语言传输指数(STIPA)。扩声系统语言传输指数(STIPA)的测量应符合本规程附录A的规定。

  5.1.3 在进行声学特性指标的测量时,可对观众席测点和比赛场地测点测得的数据分别加以统计。

  5.1.4 计算在不同位置上测得声压的平均声压时,应取算术平均值。

  5.1.5 测量体育馆比赛大厅内或体育场内声学特性指标的同时,应用音乐和语言节目对体育馆比赛大厅内或体育场内有代表性的位置做主观试听,结合测量结果和听感进行必要的调整。

  5.1.6 游泳池水下广播系统的扩声特性的测量应按本规程附录B执行。

  5.2 测量仪器

  5.2.1 噪声信号发生器的性能应符合下列规定:

  1 应具有粉红噪声输出功能;

  2 粉红噪声信号的峰值因数不应小于2;

  3 粉红噪声频谱密度应符合下列规定:

  1)20Hz~20kHz频率范围内,衰减器输出的各1/3倍频带电压相对于频率为1kHz的1/3倍频带电压,其偏差不应小于-1.5dB且不应大于1.5dB;

  2)20Hz~20kHz频率范围内,负载输出的各1/3倍频带电压相对于频率为1kHz的1/3倍频带电压,其偏差不应小于-2dB且不应大于2dB;

  4 衰减输出电压的范围应为0.4mV~4V,衰减输出的变化应为每档10dB且示值误差应小于1dB;

  5 信噪比不应低于60dB。

  5.2.2 测试功率放大器的性能应符合下列规定:

  1 50Hz~15kHz频率范围内,频率响应相对于1kHz的偏差不应小于-0.5dB且不应大于0.5dB;

  2 总谐波失真不应大于0.5%;

  3 负载阻抗应为4Ω、8Ω、16Ω;

  4 功率应能在各测点处产生符合本规程第5.3.4条规定的声压。

  5.2.3 测试传声器应符合现行标准《测量传声器 第4部分:工作标准传声器规范》GB/T 20441.4的规定。

  5.2.4 测量放大器的性能应符合下列规定:

  1 20Hz~20kHz频率范围内,频率响应相对于1kHz的偏差不应小于-0.5dB且不应大于0.5dB;

  2 测量范围应为100μV~300V;

  3 应具有A计权、C计权的频率计权特性;

  4 应具有F计权、S计权的时间计权特性;

  5 固有噪声应不大于10μV;

  6 化电压应为200V;

  7 检波器特性应符合测量有效值、平均值、峰值的要求,测量峰值因数不大于5的信号时,有效值的误差应不大于0.5dB;

  8 衰减器示值误差应小于0.1dB。

  5.2.5 倍频程带通滤波器或1/3倍频程带通滤波器应符合现行标准《电声学 倍频程和分数倍频程滤波器》GB/T 3241的规定。

  5.2.6 声分析仪应由测量放大器与倍频程、1/3倍频程带通滤波器组成。

  5.2.7 声校准器应符合现行标准《电声学 声校准器》GB/T 15173中1要求的规定。

  5.2.8 模拟节目信号网络应符合现行标准《模拟节目信号》GB/T 6278的规定。

  5.2.9 声频电压表的性能应符合下列规定:

  1 频率范围应为20Hz~20kHz;

  2 输入阻抗不应小于100kΩ;

  3 输入电容不应大于20pF;

  4 指示值误差不应大于2.5%;

  5 应能测量峰值因数不大于5的信号。

  5.2.10 混响时间测量装置应由测量放大器与倍频程、1/3倍频程带通滤波器与声压衰变的记录、显示仪器组成?;煜焓奔洳饬孔爸糜Ψ舷铝泄娑ǎ?/span>

  1 50Hz~10kHz频率范围内,频率响应相对于1kHz的偏差不应小于-0.5dB且不应大于0.5dB;

  2 动态范围不应小于50dB;

  3 应能输出声压衰变的曲线;对输出指数平均声压的测量装置,其指数平均时间常数不应大于1/64s;对输出线性平均声压的测量装置,其线性平均时间常数不应大于1/25s。

  5.2.11 测试扬声器的性能应符合下列规定:

  1 有效频率范围应为63Hz~15kHz;

  2 总谐波失真不应大于5%;

  3 灵敏度不应小于94dB;

  4 额定功率应大于10W;

  5 标称阻抗应为8Ω;

  6 箱体体积不应大于0.1m3。

  5.2.12 全向声源的性能应符合下列规定:

  1 用倍频带粉红噪声激发声源,在自由场测量的所有声源指向性偏差应符合表5.2.12中的要求;

  2 在测量频率范围内,全向声源应能在各测点处产生符合本规程第5.3.4条规定的声压。

  表5.2.12 在自由场测量的全向声源各倍频带的指向性大偏差


  注:声源的指向性偏差是用位于自由场中的声源在通过声源球心的测量平面内、半径大于1.5m的圆周上的声压计算得出的。计算方法是:用声源在圆周上任意一段30°弧线上的声压平均值减去整个圆周上的声压平均值。

  5.2.13 在声学测量时,也可使用同等准确度的其他测量仪器。

  5.3 测量条件

  5.3.1 测量前,扩声设备应按设计要求安装完毕,并应调整扩声系统,使之处于正常工作状态。有系统均衡器时,应在测量前调整到系统佳补偿状态。

  5.3.2 测量时,体育馆比赛大厅的门、窗、窗帘的状态均应与实际使用时的状态一致。

  5.3.3 测量时,扩声系统中传声器输入、线路输入通路的均衡(幅度频率响应)调节应置于“0”位置。

  5.3.4 当测量混响时间时,测点处的信噪比不应小于35dB;当测量传输频率特性、传声增益、大声压、声场不均匀度时,测点处的信噪比不应小于15dB。

  5.3.5 测量混响时间可在空场、满场条件下分别进行。其他声学特性的测量可在空场条件下进行。

  5.3.6 测点的选取应符合下列规定:

  1 所有测点与墙面的距离均不应小于1.5m。在观众席(含主席台、裁判席、活动观众席)区,测点距地面高度应为1.2m。在比赛场地区,测点距地面高度应为1.6m。

  2 对称的体育馆比赛大厅或体育场,测点可在体育馆比赛大厅或体育场的1/2区域或1/4区域内选取;非对称的体育馆比赛大厅或体育场,测点应在整个体育馆比赛大厅或体育场内选取。测点分布应均匀并具代表性。

  3 传输频率特性、传声增益、大声压的测点数,在体育馆观众席区宜选测量区域内座席数的5‰,且不应少于8点;在体育馆比赛场地内不应少于3点;在体育场观众席区宜选测量区域内座席数的3‰;在体育场比赛场地内不应少于9点。

  4 声场不均匀度的测点数,在体育馆观众席区宜选测量区域内座席数的1%;在体育馆比赛场地内不应少于5点;在体育场观众席区宜选测量区域内座席数的1/200;在体育场比赛场地内不应少于9点。

  5 混响时间、背景噪声的测点数,在体育馆观众席区不应少于6点;在体育馆比赛场地内不应少于3点。


  因篇幅有限请到资料下载  下载完整文件。

  还可以了解更多关于会议室解决方案、产品和案例 等信息。

  还可以了解更多关于体育场馆解决方案、产品和案例 等信息。

  还可以了解更多关于剧场剧院解决方案、产品和案例 等信息。

  还可以了解更多关于学校教育  解决方案、产品和案例  等信息。


目前已有876人预约解决方案

卓邦资质

卓邦营业执照 中关村高新技术企业

企业拥有国际认证资质4项,国家级认证资质3项
行业认证资质22项

项目实施能力

项目技术工程师 项目技术工程师

建设工程师 建设工程师

工程师 工程师

相关案例展示